Główna
Szkoła
Matura
Arkusze maturalne
Studia
Egzamin ósmoklasisty
Inne
Logowanie
Drukuj
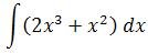
Oblicz całkę
.
Rozbijamy całkę na sumę dwóch całek, a następnie liczymy całki dla każdego wyrażenia wielomianowego z osobna:
Strony z tym zadaniem
Sąsiednie zadania
Zadanie 14001
Zadanie 14002
Zadanie 14003 (tu jesteś)
Zadanie 14004
Zadanie 14005