Metoda podstawiania

Drukuj
Poziom podstawowy
Metoda podstawiania polega na wyznaczeniu z jednego równania jednej niewiadomej i podstawieniu jej do drugiego równania.
Rozwiąż układ równań: \[\begin{cases} x-y=5\\ 2x+y=4 \end{cases}\]
Z pierwszego równania (\(x-y=5\)) możemy wyznaczyć niewiadomą \(x\): \[x-y=5\\[6pt] x=y+5\] Teraz w drugim równaniu (\(2x+y=4\)) możemy podstawić w miejsce \(x\) wyrażenie \(y+5\): \[ 2x+y=4\\[6pt] 2(y+5)+y=4\\[6pt] 2y+10+y=4\\[6pt] 3y=-6\\[6pt] y=-2 \] Wiedząc, że \(y=-2\) możemy obliczyć \(x\) z równania: \[x=y+5=-2+5=3\] Zatem rozwiązaniem tego układu jest para liczb: \[\begin{cases} x=3\\ y=-2 \end{cases}\]
Rozwiąż układ równań: \begin{cases} x+2y=8\\ 2x-y=1 \end{cases}
Z pierwszego równania wyliczamy \(x\), a drugie równanie przepisujemy bez zmian: \[ \begin{cases} x=8-2y\\ 2x-y=1 \end{cases} \] Teraz podstawiamy wyliczoną wartość (\(8 - 2y\)) pod \(x\) w drugim równaniu: \[ \begin{cases} x=8-2y\\ 2(8 - 2y)-y=1 \end{cases} \] Dzięki temu podstawieniu w drugim równaniu mamy już tylko niewiadomą \(y\).
Rozwiązujemy drugie równanie: \[ \begin{split} 2(8 - 2y)-y&=1\\[6pt] 16-4y-y&=1\\[6pt] -5y&=-15\\[6pt] y&=3 \end{split} \] Zatem mamy: \[ \begin{cases} x=8-2y\\ y=3 \end{cases} \] W pierwszym równaniu możemy podstawić pod \(y\) wyliczoną wartość \(3\): \[ \begin{split} x&=8-2\cdot 3\\[6pt] x&=2 \end{split} \] Ostatecznie otrzymujemy rozwiązanie: \[ \begin{cases} x=2\\ y=3 \end{cases} \]
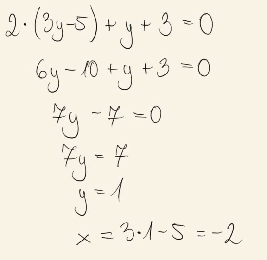
Dany jest układ równań \(\begin{cases} x - 3y + 5 = 0 \\ 2x + y + 3 = 0 \end{cases} \)
Dokończ zdanie. Wybierz właściwą odpowiedź spośród podanych.
Rozwiązaniem tego układu równań jest para liczb
A.\( x=1 \) i \(y=2\)
B.\( x=0 \) i \(y=-3 \)
C.\( x=-2 \) i \(y=1 \)
D.\( x=-1 \) i \(y=-1 \)
C
Rozwiązaniem układu równań \(\begin{cases} 3x-5y=0\\ 2x-y=14 \end{cases} \) jest para liczb \((x,y)\) takich, że
A.\(x\lt 0\)i\(y\lt 0\)
B.\(x\lt 0\)i\(y>0\)
C.\(x>0\)i\(y\lt 0\)
D.\(x>0\)i\(y>0\)
D
Tematy nadrzędne i sąsiednie